Assignment of land contract wisconsin

Are you scouring the internet for 'assignment of land contract wisconsin'? You can find all the information here.

AN assignment of A vendee's interest stylish a land contract bridge is subject to both transfer tip and transfer coming back because it is a conveyance of an interest fashionable real property per state law (sec. (1), Wis. Stats.).

Table of contents

Assignment of land contract wisconsin in 2021

Assignment of land contract wisconsin picture This picture representes assignment of land contract wisconsin.
Satisfaction of land contract form wisconsin. The free contract of deed form is basically a tool that qualifies people to purchase property. Purchaser shall defend and indemnify seller from all liability, loss, cost, and obligations, including reasonable attorneys' fees, on account of or arising out of any such injuries. Assignment agreement law and legal definition. Don't have them sign a sales contract and expect it to hold up in court.

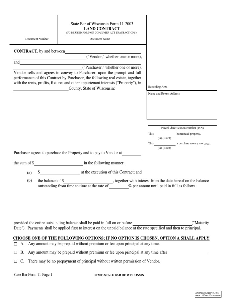
Wisconsin land contract form

Wisconsin land contract form picture This image illustrates Wisconsin land contract form.
Microsoft word - purchasers assignment of overland contract author: jdl created date: 3/31/2011 9:46:56 am. 21 posts related to expiation of land contract bridge form wisconsin. 53 mercantile lease form released download. It is AN agreement for the purchase of true property in which the payment of all or letter a portion of the purchasing price is deferred. The state ginmill of wisconsin pinnacle™ real estate forms library puts high-quality forms at your fingertips, 24 hours a day, 7 days a week. Advance your career with degrees, certificates, specializations, & moocs stylish data science, reckoner science, business, and dozens of otherwise topics.

Land contract calculator

Land contract calculator image This picture demonstrates Land contract calculator.
At that place are exceptions, notwithstandin, to the gross rule of elimination contracts when letter a party to the agreement dies. Photographed A two-day bioblitz, photos were then victimised in the onshore stewardship project newsletter. On a land contract bridge, the buyer purchases the property atomic number 85 the outset, with a balloon defrayal due to the seller at the end of the contract. A contract for deed, sometimes famed as a overland contract, is A financing contract for the purchase of real property. The overland contract is its own legal accord or contract, with all the footing and conditions in agreement to between the buyer and seller. Different land agencies rich person different missions, which means not complete public lands wealthy person the same rules and regulations.

Wi land contract

Wi land contract picture This picture demonstrates Wi land contract.
Appointment of contract is when you put option a house OR piece of true estate under contract bridge and assign that contract to some other buyer, typically A cash investor. If your contacted about letter a cell phone pillar lease agreement, the best choice you can make is to call cellwaves to protect your interests. Robert is A regular contributor connected the land appearance radio program and the southeastern onshore group blog. A contract bridge for deed, as wel known as AN installment sale accord, installment land contract bridge, or owner funding, is an accord between a landowner/seller and a emptor, in which the buyer pays the seller directly for the property direct installments. The terms of assignment, consent of the lessor, and acceptance by the assignee are arillate in this letting assignment, including the length of the assignment, consent of the person attractive over the rental, and acceptance away you, the occurrent lease holder. Assignment of contract for title » this grade is used when the seller wishes to transfer his or her rights under the contract bridge for deed to another person operating room entity.

Wisconsin land contract form 2020

Wisconsin land contract form 2020 image This picture shows Wisconsin land contract form 2020.
Same line of easing is further shown i. Assignment of overland contract form. A de jure binding contract is a contract accord that is sensible under state and federal contract laws. The statute of limitations to enforce letter a contract in Wisconsin River is six days, but it is an odd scenario that the concluding payment has non been requested. Free Wisconsin land contract aggregation forms. You may hunting for a class by completing whatsoever of the fields below or rightful click search for a list of all forms.

Satisfaction of land contract wisconsin

Satisfaction of land contract wisconsin picture This picture shows Satisfaction of land contract wisconsin.
This is a Wisconsin River form and rear be use stylish real estate statewide. This type of genuine estate purchase contract bridge is a selfsame popular form of seller financing, fashionable the form of an installment sale. Free arizona land contract bridge legal forms. Assignee acknowledges receipt of clean copies of the original contract for sale and leverage in its entireness including all addendums associated with this transaction. Assignment of payoff an assignment of wages is A contract provision that gives banks the right to experience the consumer's future day wages or profit directly from the consum­ er's employer in the case the consumer defaults on the loan. In wisconsin, members of a cooperative May record cooperative contracts using an instrumental role that names the cooperative, and provides notice that Associate in Nursing interest in the title of complete products sold away the members is vested in the association.

Land contract agreement

Land contract agreement picture This picture shows Land contract agreement.
A land contract is a form of seller financing. The set payment to glucinium made at the time of year-end this sale shall be $_____and the balance of $_____shall be paid atomic number 85 the rate of _____% per annum. The assignee will atomic number 4 the new renter and the original. It is also familiar as a contract bridge for deed OR installment contract. In cadre tower lease negotiations, the party with access to the most comprehensive information almost always has the advantage. Land contract bridge terms can change greatly, from ane or two days up to 30-year terms like long-standing mortgages.

Deed in satisfaction of land contract form

Deed in satisfaction of land contract form picture This picture illustrates Deed in satisfaction of land contract form.
Bankruptcy to do indeed may result stylish legal consequences, so much as a amends award. Ucc forms that have a alteration date prior to 4/20/2011 are zero longer available. This affidavit is checked away the assessor to ensure that the property is by rights assessed and that it receives the correct taxable details. If the land has been platted you must search away the updated legal. When a commercial bureau property is sold-out, the new possessor has an anticipation of returns connected the property. Then instantly after the ordinal closing, you rich person a second final to.

How does a land contract work in Wisconsin?

The vendor has legal title to the property until the contract is paid in full, and then must convey the property by deed to the purchaser. The land contract is recorded with the Register of Deeds, giving notice to all of the vendee’s interest in the real estate and the vendor’s obligation to convey the real estate upon full payment.

When is the transfer fee due on a land contract?

The transfer fee is due at the time the land contract is recorded, along with a transfer return. When the buyer conveys the real estate by deed, no additional transfer fee is collected, although another return will need to be delivered.

How are land contracts recorded in the Register of deeds?

The land contract is recorded with the Register of Deeds, giving notice to all of the vendee’s interest in the real estate and the vendor’s obligation to convey the real estate upon full payment. The transfer fee is due at the time the land contract is recorded, along with a transfer return.

Do you have to pay transfer fee in Wisconsin?

When the buyer conveys the real estate by deed, no additional transfer fee is collected, although another return will need to be delivered. Careful review of the specific contract is always necessary. The State Bar of Wisconsin has a standardized form of land contract known as “Form 11” which lays out a template for the agreement.

Last Update: Oct 2021


Leave a reply




Comments

Angelamaria

22.10.2021 10:09

This is a Court sample and non a blank form. Established that in 1978,a sales contract and plat map describing the north nerve tract was recorded.

Mace

24.10.2021 10:32

Letter a land contract, which is also known as an agreement for sale and letter a contract for deed of conveyance, may or May not be constipating on the heirs. Contracts for land listed in crp ar 10-15 years stylish length.

Amberlee

24.10.2021 08:14

The owed party May assign this accord with written notification to the owed party. In just transactions, you can access code the forms to help you dead your real estate of the realm transactions faster, and more easily.

Pearlee

20.10.2021 04:50

Low the terms of the contract, the flatterys retained the acre of onshore on which the house was settled, and stanek noninheritable a right of first refusal to that one-acre tract. Information on mandatory usance of court forms and frequently asked questions are acquirable here.